前两周我测试了腾讯旗下的自研龙虾WorkBuddy。
今天来测试它的同门兄弟QClaw。
地址:https://qclaw.qq.com/

QClaw每天赠送4000万Token。
实测下来,每天处理几十个任务都能轻松应付。
进入主页可以在输入框直接输入你的任务。
除了对话之外还有一个工作室模式,点击对话区域左上角即可切换。

这是一个像素风格的工作室,里面的虾会根据工作状态移动位置。
没任务时,它会窝在沙发上休息,有任务就会在白板和电脑桌区域。


完成任务后,它会戴上耳机开心地手舞足蹈。

特别有意思的一点是桌子上的玻璃球可以点击触发趣味塔罗技能。

以及书架旁边的收音机还可以触发科技资讯精选技能。

接下来我们测试下它的实力如何。
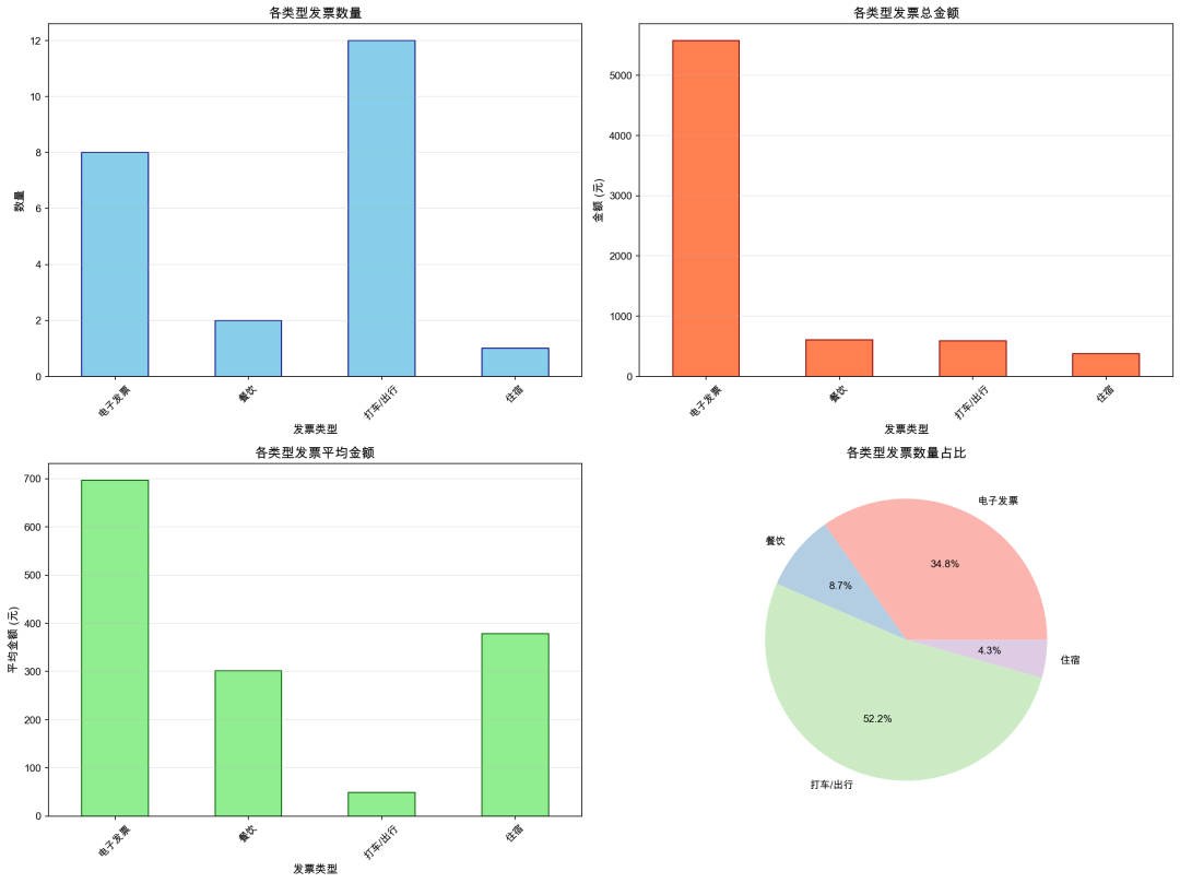
任务1:整理发票+表格生成+图表分析
帮我整理下【发票报销_副本】文件夹里面的发票:
1.根据发票类型进行文件夹分类
2.做成Excel表格统计总数
3.根据不同类型消费做图表分析

这里面发票包含高铁、打车、云服务、酒店、餐饮的发票,而且命名规则也不一致。

最终发票整理完成,给出了文件夹的结构目录以及统计了发票金额数据。
并且还创建了一个新的文件夹来存放整理后的结果数据。


以及将发票的文件名、发票类型、金额、日期、销售方都整理到了表格中。

还生成了多维度的数据图表分析,包含:各类型发票金额占比饼图、各类型发票总金额柱状图、各类型发票数量分布、各类型发票总金额分布、各类型发票平均金额、各类型发票数量占比饼图。


这效率简直了!
任务2:将一本书籍内容蒸馏成可直接使用的技能(Skill)
现在有很多经典的书籍里面都有非常实用的方法论,那我就做一个提取书籍方法论的Skill,这样就可以让书籍不至于被阅读而是可以被直接使用。
于是我对QClaw说了下我的需求,并且给出了案例:
帮我开发一个书籍skill,能够通过输入书籍名称,生成对应书籍里面的skill。
比如《小而美》这本书,可以生成书中的核心方法论技能:
寻找社群 /find-community 想找创业方向、定位目标人群
验证想法 /validate-idea 测试一个商业点子值不值得做
最小可行产品 /mvp 准备做第一款产品,不知道该做哪些功能
流程化 /processize 有产品思路,想先手动跑通服务再写代码
首批客户 /first-customers 产品做好了,想搞定前 100 个用户
定价 /pricing 制定价格、考虑调价时用
营销计划 /marketing-plan 产品市场匹配度不错,想靠内容放大规模
稳健增长 /grow-sustainably 做支出、招人、扩张相关决策时
公司价值观 /company-values 梳理企业文化、准备招人时
极简复盘 /minimalist-review 快速判断任何商业决策是否合理
不一会儿它就完成了这个Skill的开发。

然后我给了它一个书名:《精益创业》。

结果它把这本书里面的所有核心方法论全部提炼成了Skill。

接着我切换到MVP方法,并提出了一个挑战。
我故意把目标设定得比较大,做一个连锁鞋垫品牌。
看看它的方案会不会不切实际。
/mvp-lean 我想做一个连锁鞋垫品牌,帮我规划下这个事情的mvp

它先对我进行了追问,我没有回答,而是直接让它继续分析。
结果它直接给到了我不同阶段的可执行的方案,从低成本验证需求到验证产品再到扩张方案。


整体来说方向和做法都是十分具有可行性的,然后我给出了目标人群:跑步爱好者。
结果它针对这个方向又给到了MVP的三个阶段,整体内容都非常符合低成本试错的策略。




我已经把book-skill-generator(书籍技能生成器)进行了开源,大家可以一键安装即可使用。
开源地址:https://github.com/CymChad/book-skill-generator
添加方式仅需一步,点击左上角QClaw开启新任务直接和它说(适用于所有龙虾产品):
帮我安装下 https://github.com/CymChad/book-skill-generator

安装完成之后直接对话使用即可。
帮我从《思考,快与慢》提取核心方法论skill总结
从最基础的发票整理(多格式、多类型自动归类+可视化图表)到高阶的“知识蒸馏”把经典书籍的核心方法论,直接变成可执行、可对话的技能(Skill)。
QClaw不只是回答你的问题,而是在尝试构建一个“输入需求-拆解任务-输出可执行方案”的自动化工作流。
让我印象深刻的是像素工作室里那只虾,你丢给它一个问题,它立刻从沙发蹦到白板前,噼里啪啦一顿追问和规划,完事后还戴耳机嘚瑟两下,仿佛在说:“这有什么难的?”
每天4000万的免费Token,对于绝大多数个人开发者、创业者或日常重度办公用户来说,基本等同于“无限弹药”。
无论你是想摆脱繁琐的Excel整理工作,还是想快速汲取一本书的精华并立刻应用,QClaw都提供了一个极具性价比和创造力的解法。