

基本概念 灰度质心法(Gray-scale Centroid Method)是一种基于图像灰度分布的加权平均位置计算方法。它将图像的灰度值作为质量权重,计算图像的"质量中心"。 数学原理

对于离散的数字图像,灰度质心的计算公式为:

其中:

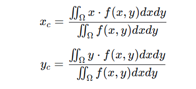
对于连续图像,公式可写为:

其中 f(x,y)是图像的灰度分布函数。
类比物理学中的质心概念

% 读取图像并转换为灰度图
I = imread('your_image.jpg');
if size(I, 3)==3
I = rgb2gray(I);
end
% 将图像数据转换为double类型
I = double(I);
% 获取图像尺寸
[rows, cols]= size(I);
% 创建坐标网格
[x, y]= meshgrid(1:cols, 1:rows);
% 计算总灰度值
total_intensity = sum(I(:));
% 计算灰度质心坐标
centroid_x = sum(sum(I .* x)) / total_intensity;
centroid_y = sum(sum(I .* y)) / total_intensity;
% 显示结果
fprintf('灰度质心坐标: (%.2f, %.2f)\n', centroid_x, centroid_y);
% 可视化显示
figure;
imshow(uint8(I));
hold on;
plot(centroid_x, centroid_y, 'r+', 'MarkerSize', 15, 'LineWidth', 2);
title('图像灰度质心');

`timescale 1ns/1ps
module totalmass(
input pixelclk,
input reset_n,
input [11:0] hcount,
input [11:0] vcount,
input [7:0] i_gray,
input i_hsync,
input i_vsync,
input i_de,
output reg [31:0] centerx,
output reg [31:0] centery,
output reg out_flag
);
parameter IDLE =2'd0,
TOTAL=2'd1,
CALC =2'd2,
OUT =2'd3;
reg [31:0] totalgray;
reg [31:0] totalcenterx;
reg [31:0] totalcentery;
reg [1:0] state;
always @(posedge pixelclk or negedge reset_n) begin
if(!reset_n) begin
totalgray <= 32'd0;
centerx<= 32'd0;
centery<= 32'd0;
out_flag <= 1'b0;
totalcenterx<= 32'd0;
totalcentery<= 32'd0;
state<=IDLE;
end
else begin
case(state)
IDLE:begin
if(i_vsync==1'b1) begin
state <= TOTAL;
end
else begin
totalgray <= 32'd0;
totalcenterx<= 32'd0;
totalcentery<= 32'd0;
end
end
TOTAL:begin
if(i_vsync==1'b0) begin
state <= CALC;
end
else if(i_de==1'b1) begin
totalgray <= totalgray + i_gray;
totalcenterx <= totalcenterx + hcount*i_gray;
totalcentery <= totalcentery + vcount*i_gray;
end
end
CALC:begin
if(totalgray!=0) begin
centerx <= totalcenterx/totalgray;
centery <= totalcentery/totalgray;
out_flag <= 1'b1;
state <= OUT;
end
else begin
out_flag <= 1'b0;
state <= IDLE;
end
end
OUT:begin
out_flag <= 1'b0;
state <= IDLE;
end
endcase
end
end
endmodule