

Junjun Huang,Li Fang等丨马来亚大学 计算机科学与信息技术学院 / 宁波大学附属第一医院 泌尿外科
膀胱癌为常见泌尿系统恶性肿瘤,NMIBC与MIBC的精准区分直接影响治疗决策。MRI虽具重要诊断价值,但人工阅片存在主观性强与效率低的问题。现有深度学习方法受多中心数据分布差异及特征判别力不足限制,跨中心泛化性能不佳。
本文通过引入领域自适应与对比学习策略,构建稳健模型,实现高精度、强泛化的自动化分型诊断。

构建基于卷积神经网络和域自适应模块的特征提取器,将源域(训练集)和目标域(测试集)的多中心MRI图像联合输入。
利用Wasserstein距离约束模型,最小化不同医学中心间的数据分布差异,学习域不变特征,提升跨中心泛化能力。
在训练阶段引入深度对比学习约束,增强特征空间中的类内紧凑性与类间可分性,从而提高NMIBC与MIBC的分类辨识度。
结合交叉熵分类损失、对比学习损失与域自适应损失,对DADCNet模型进行联合优化训练与性能评估。

在10折交叉验证中,DADCNet的准确率(0.955)、F1分数(0.955)和AUC(0.991)均显著高于ResNet及ViT等主流架构,分类指标提升明显(Fig. 2)。

图2 DADCNet和基线模型的整体性能比较。在10倍交叉验证下,显示DADCNet与主流深度学习模型的准确性、F1分数和AUC的线图和条形图。
对比联合模块缺失变体,完整模型的准确率、F1分数和AUC分别绝对提升了2.7%、2.1%和3.2%,收敛速度更快且整体优化过程更稳定(Fig. 3)。

图3 DADCNet模块的消融研究。DADCNet和没有对比学习和域适应的DADCNet的比较。
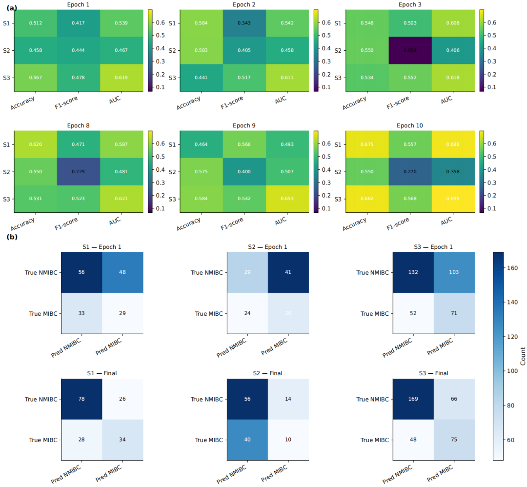
在三种多中心交叉验证场景下,融合多样化中心数据时模型表现最佳。混淆矩阵显示,随训练推进,类间误判率大幅下降,泛化稳定性增强(Fig. 4)。

图4 DADCNet的跨中心泛化。不同训练测试场景(场景1-3)中的准确性、F1分数和AUC热图,以及多中心验证设置下的混淆矩阵。
Grad-CAM证实模型精准聚焦肿瘤及邻近肌层;t-SNE特征分布图显示,两类样本特征在低维空间中由初始重叠逐渐形成界限清晰的独立聚类(Fig. 5, Fig. 6)。

图5 Grad-CAM可视化DADCNet模型。具有Grad-CAM激活图和叠加可视化的代表性MRI样本。

图6学习特征表示的t-SNE可视化。NMIBC和MIBC特征在不同训练阶段的t-SNE图,说明随着DADCNet学习更多的判别和域不变表示,类的逐步分离。
本文提出了一种整合域自适应与深度对比学习的MRI膀胱癌分类网络(DADCNet)。
核心创新点在于:
该模型展现了超越主流深度学习框架的性能,为膀胱癌术前精准分期提供了稳健、精准且具可解释性的自动化临床辅助诊断工具。
本研究使用来自四个医疗中心的公开多中心膀胱癌MRI队列(T2加权成像,T2WI),共包含279名患者。
具体数据分布为:C1中心160例,C2中心48例,C3中心32例,C4中心35例。
涉及西门子(MAGNETOM Skyra/Verio)、联影(UMR 780)及GE(Discovery MR750w)等多种不同型号与成像参数的MRI扫描设备,样本类别涵盖非肌层浸润性(NMIBC)和肌层浸润性(MIBC)两类。
参考文献:Huang, J., Hu, H., Sun, M. et al. A domain-adaptive deep contrastive network for magnetic resonance imaging-driven bladder cancer classification. npj Digit. Med. (2026). https://doi.org/10.1038/s41746-026-02499-4



本文仅作学术学习翻译,译文若有疏漏,欢迎批评指正;原文版权归文献方所有,本内容非商用,如涉及侵权,敬请联系后台删除。