分子线超图和超超图
Molecular Line HyperGraphs and SuperHyperGraphs
https://fs.unm.edu/NK/NK9-4.pdf

摘要
超图通过允许超边连接顶点的任意非空子集来扩展经典图,从而捕捉复杂的群体级关系。超超图通过引入递归嵌套的幂集层推进了这一框架,这些层表示超边之间的层次化和自引用连接。线图通过将给定图的每条边转化为一个顶点,并在对应的边共享一个端点时连接两个这样的顶点,来编码给定图的边邻接关系。迭代线图重复应用此构造,每次应用于上一步的结果。在化学领域内,分子图和化学图已确立,且超图、线图和超超图也在此背景下被探索过。在本文中,我们引入分子线超超图和分子迭代线超超图,提供形式化定义,并讨论潜在应用。我们期望这些框架将能在化学中实现更清晰和更忠实的层次分子结构表示。
关键词:超超图,超图,线图,分子图,迭代线图
本节概述了本文所采用的基本概念和符号表示。 全文中,所有被考虑的图和超图均假定为有限的。
1.1. 超图与超超图
超图通过允许每条边(称为超边)连接顶点集的任意非空子集,扩展了标准图模型,从而能够对多于两个顶点之间的交互进行建模 [1–4]。超超图在此基础上构建,通过对超图结构重复应用幂集运算,产生层次嵌套的超边连接层 [5–7]。这种增强的结构模型一直是最近几项研究的焦点 [8–10]。鉴于其对层次建模具有高描述能力,超超图框架预计将支持不断扩大的应用范围 [11–14],并且预计将在未来发挥更突出的作用。
定义 1.1(基集)。设 S 为一个非空集合,称为基集。所有高阶对象,如幂集和超顶点,均由 S 构建:













例 1.9(生物化学 2-超超图:EGFR–MAPK 信号程序)。(参见 [21])我们构建一个具体的 2 级超超图,用以组织生化反应 → 模块 → 程序。
0 级(反应基集)。设基集

收集反应/交互标识符。


1.2. 线图
线图将图的边表示为顶点,若原始边共享一个公共端点,则将它们连接起来(参见 [22–24])。





解释:每个顶点代表一个交互项(成对或三体),且每条超边将所有在公共原子处相遇的交互项归为一组——这种组织形式对于化学物理模拟中的多体势组装很有用。
线超超图将每条超边映射为一个顶点,并通过包含原始结构中公共超顶点的超边将它们连接起来 [30]。




1.3. 迭代线图
迭代线图是通过对一个图重复应用线图变换而形成的,并将每次的结果作为下一次的输入 [31–36]。



这说明了重复的线图变换是如何从原子-原子键延伸到键之间的邻接关系,进而延伸到这些邻接关系之间的邻接关系,依此类推。
迭代线超图将线超图构造重复应用于超图,从而在迭代过程中捕捉超边的高阶邻接关系 [30]。





从化学角度看,1 级将反应分组为模块,2 级将模块耦合转化为“通道顶点”并记录哪些通道在一个模块处汇合,而 3 级记录这些通道本身如何通过共享的通道顶点共同出现。
1.4. 分子线图与迭代线图
分子图(Molecular Graph)将分子建模为以原子为顶点、键为边的图,以表示其结构连通性 [38–43]。与分子图相关的概念包括化学图(chemical graph)[44–48]。分子图已在各种研究工作中得到了广泛研究 [49–52]。
分子线图(Molecular Line Graph)将分子图的每个键表示为一个顶点,如果这些键共享一个原子,则将它们连接起来(参见 [53, 54])。分子迭代线图(Molecular Iterated Line Graph)重复应用线图变换,以揭示连续的高阶键邻接关系 [55–57]。





因此,苯是线图算子的一个不动点,反映了环周围均匀的键-键邻接关系。
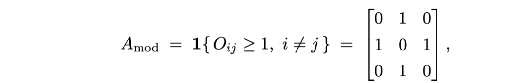
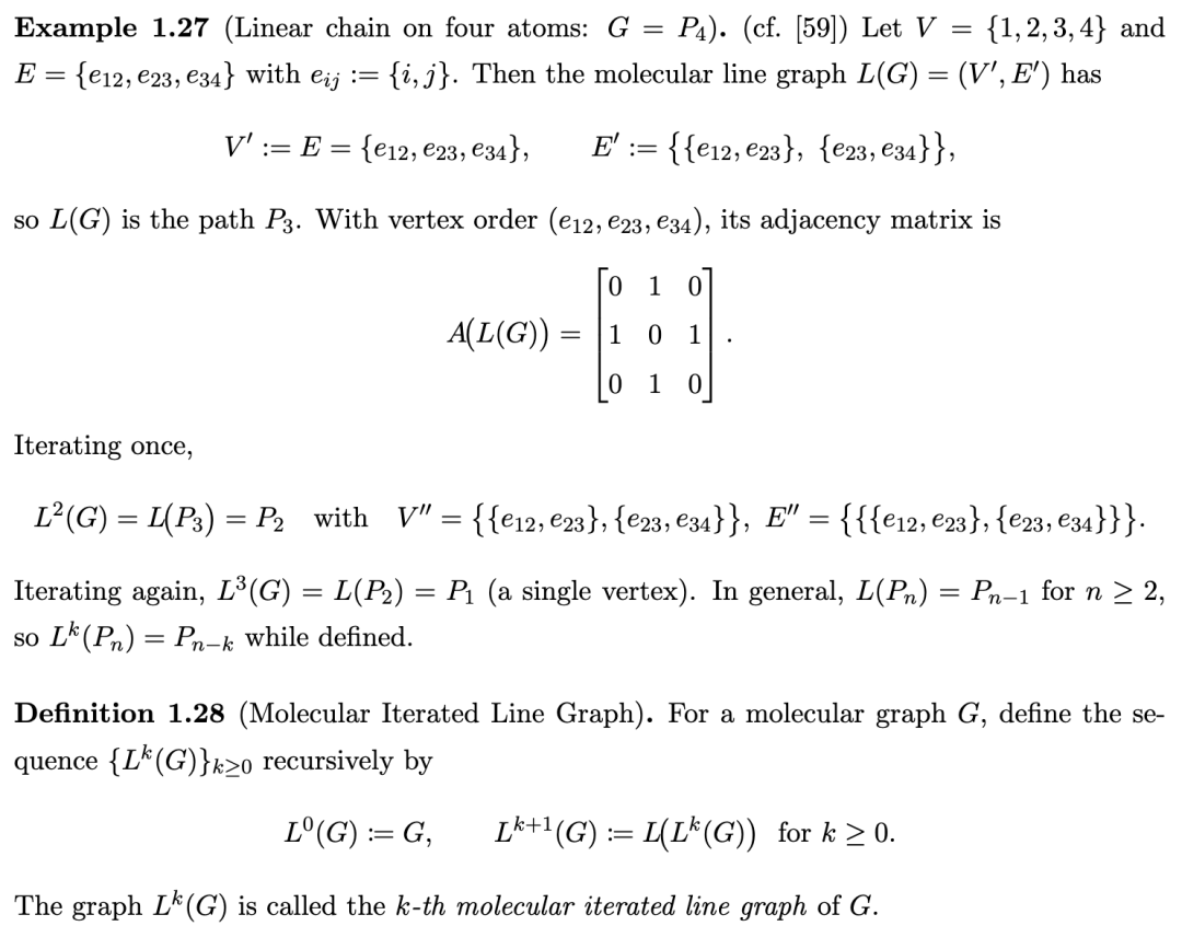
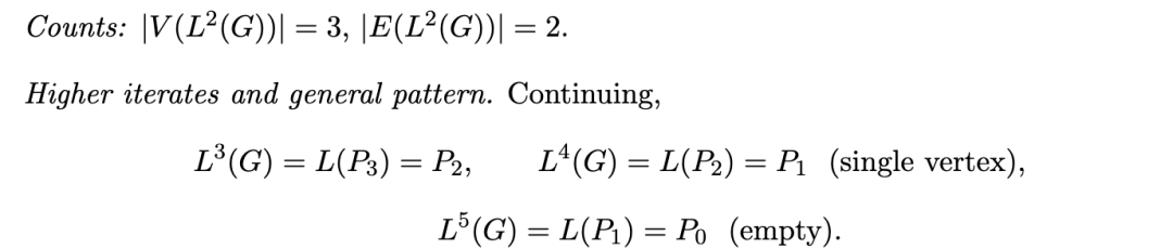
例 1.31(直链烷烃骨架:正戊烷片段 C₁–C₂–C₃–C₄–C₅)。我们通过简单的分子图对一个无支链的五碳骨架(如正戊烷中所示)进行建模




G编码原子–原子连通性(C–C 键)。L(G) 将键转化为顶点,并记录哪些键在公共碳原子处相邻——例如,这对于沿烷烃骨架构建振动或 NMR 耦合模型中的键–键耦合项很有用。迭代至

捕捉了键–邻接关系本身之间的邻接性,这可以在正戊烷等直链烃中组织高阶约束(例如,顺序耦合路径或粗粒度片段相互作用)。
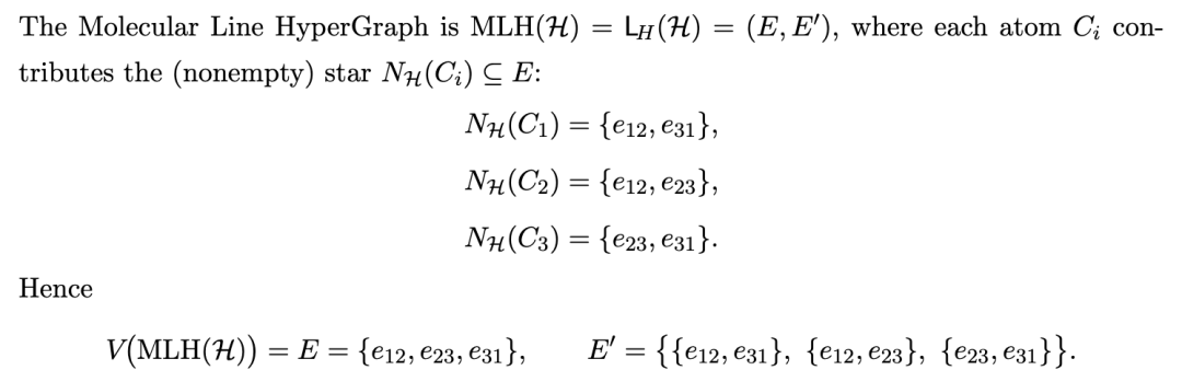
分子超图将原子表示为顶点,化学键表示为超边,从而捕捉分子结构中的多原子相互作用 [62–64]。近年来,分子超图一直是各种研究的主题 [65,66]。分子线超图通过将键表示为顶点并在共享公共原子时连接它们,从而对分子超图进行变换。迭代线超图重复应用线超图变换,在连续层级中揭示键之间的高阶邻接关系。




















分子 n-超超图(Molecular n-SuperHypergraph)使用直到深度 n 的嵌套原子集或相互作用集来对分层分子结构进行建模(参见 [67–69])。分子线超超图将分子超边(superedges)映射为顶点,通过共享原子将它们连接起来,从而实现高阶化学连通性分析。分子迭代线超超图反复将分子超边变换为顶点,揭示复杂化学结构中的多层次分层连通性。




这具体阐明了一次迭代中的顶点(相互作用组)如何成为下一次迭代中被归入超边的“单元”,从而通过重复的线-超超图提升(lifting),对功能部分之间的高阶关联进行编码。
例 3.8(共轭芳香族片段(对位二取代苯))。我们从苯环的键标识符构建一个第 1 层分子超超图,并计算其分子迭代线超超图直至第二次迭代。








在本文中,我们引入了分子线超超图(Molecular Line SuperHyperGraphs)和分子迭代线超超图(Molecular Iterated Line SuperHyperGraphs)的概念,给出了形式化定义,并探讨了其潜在应用。展望未来,我们预期后续工作将借助模糊图(Fuzzy Graphs)[70]、直觉模糊图(Intuitionistic Fuzzy Graphs)[71]、中智图(Neutrosophic Graphs)[72–75]、中智超图(Neutrosophic HyperGraphs)[76,77]、不确定图(Uncertain Graphs)[78,79] 以及普利托生图(Plithogenic Graphs)[80–82] 等框架来扩展这些概念。我们同时也期待编程工具与库的开发进展,以及通过计算机机器学习与实验研究开展的定量分析。