神经网络增强的相对论重离子碰撞贝叶斯全局分析
Neural network enhanced Bayesian global analysis of relativistic heavy ion collisions
https://arxiv.org/pdf/2603.26413


I. 引言
根据量子色动力学(QCD),高温(T ≳ 150 MeV)且重子化学势为零的强相互作用物质以夸克-胶子等离子体(QGP)的形式存在,这是一种由解禁闭的夸克和胶子组成的流体[1–4]。当前,可以在CERN大型强子对撞机(LHC)和BNL相对论性重离子对撞机(RHIC)的超相对论性重离子碰撞中研究热QCD物质的性质,因为这些实验能够达到如此极端的温度。
对QCD物质演化进行建模的一个基石是耗散相对论性流体动力学,即“流体力学”,其中物质性质嵌入在输运系数和QCD状态方程中,而状态方程包含了从QGP到强子气体的交叉过渡。除了物质性质之外,流体力学模型的一个关键部分是初始条件,这些初始条件可以参数化(如TRENTo模型[5]中所做的那样),或者也可以从基于QCD的初态模型计算得到,例如基于色玻璃凝聚的IP-Sat模型(依赖碰撞参数的饱和模型)[6–8]、EKRT模型(Eskola-Kajantie-Ruuskanen-Tuominen模型)[9–15]以及EPOS模型(能量守恒+平行散射+因子化+饱和机制)[16–21]。流体力学演化还可以通过额外的建模来补充,例如预流体力学演化(如KøMPøST [22]和Alpaca [23])以及晚期强子演化,后者可以使用强子级联模拟来建模,如UrQMD [24, 25]或SMASH [26]。另一种方法是全程使用流体力学来描述整个演化过程——这也是本文所采取的方法,但同时用动态冻结条件和化学冻结[27]对其进行补充。在过去的几年中,基于流体力学的方法对实验测得的整体(低横动量)可观测量提供了一致的描述,从而为在这些碰撞中形成了具有集体行为的热QGP提供了非常有力的支持[28]。
从LHC和RHIC数据中确定QCD物质性质,例如剪切粘度和体粘度的比值的温度依赖性η/s(T)和ζ/s(T),是目前一个非常活跃的研究领域。上述那些对于描述完整碰撞事件所必需的有效模型框架,通常都伴随着相当多的自由参数,数量约为10-20个,这些参数必须通过实验数据进行拟合;物质性质以及初态动力学和解耦动力学中的未知因素,都用这些参数来表达。此外,许多拟合参数之间是相互关联的,以至于各种不同的参数组合可能对末态可观测量产生相似的影响。出于这个原因——为了理解这些关联并获得可控的误差估计——贝叶斯全局分析已成为确定QCD物质性质及其不确定性的标准工具[29–47]。关于最近的综述,可参见参考文献[48]。
这些分析中的一个主要挑战在于,通常最终的实验结果是对数百万个碰撞事件的平均值,而有意义地将模型与数据进行比较也需要类似数量的模拟碰撞事件。与此同时,QCD物质性质的参数以及解耦条件和初态的参数共同构成了一个多维参数空间。贝叶斯分析要求我们能够在参数空间中的任意点快速且容易地计算出实验测量的可观测量。直接通过模型计算来完成这一任务显然是不可能的,因为对于每一组新的参数组合,都需要至少数万次甚至更多(对于稀有可观测量而言)的新的模型运行。即使借助高斯过程(GP)仿真器[49–51]等工具,这项任务在计算上仍然非常苛刻,因为它可能仍然需要数百万次的模型运行才能为这些仿真器生成足够全面的训练数据。
在这项原理验证研究中,我们引入了一个新颖的框架,能够将这一过程的速度潜在提升数个数量级。我们方法的主要新特性在于,我们不进行数百万次流体力学模拟,而是使用流体力学模拟来训练深度卷积神经网络(NN),这些神经网络能够直接从初始能量密度分布逐事件(EbyE)地预测最终的实验可观测量。然后,我们可以用神经网络取代耗时的流体力学模拟,并使用它们来生成用于高斯过程仿真器的训练数据。虽然训练神经网络仍然需要相当数量的真实流体力学模拟,但这比直接使用流体力学为训练高斯过程仿真器生成数据所需的数量要少几个数量级。对于某个给定的可观测量,需要更多的模拟事件才能获得有意义的结果,那么计算时间的差异就越显著。除了我们之前的工作[52, 53]之外,使用生成神经网络作为快速模拟逐事件流体力学模拟的方法最近在参考文献[54–56]中也得到了研究。然而,据我们所知,这是这些方法首次被应用于贝叶斯全局分析的背景下。
我们这里的主要物理目标是改进对QCD物质粘度η/s(T)和ζ/s(T)的确定,并理解这些性质如何与EKRT初态计算及其不确定性相互关联。我们在文献[52]中引入的神经网络,现在得到了进一步发展,使其也能够接受QCD物质参数作为输入[53]。这些新的神经网络能够非常快速地逐事件(EbyE)计算流系数、平均横动量和多重数。利用中心度分级的平均结果,我们随后训练高斯过程(GP)仿真器,并将其用于贝叶斯分析。
为了对神经网络进行逐事件训练,我们采用了文献[27]中的2+1维相对论性剪切和体粘滞流体力学,初始条件由基于微扰QCD+饱和机制的EbyE-EKRT模型[13]计算得到,解耦条件则根据文献[27]中介绍的方法动态确定。我们没有将流体力学与强子级联后处理程序耦合,而是让流体力学在部分化学平衡(PCE)下一直运行到最终的动力学冻结。这样做避免了针对各种未知强子截面的进一步假设以及例如在剪切粘度上出现非物理的不连续性。不过,我们仍然考虑了冻结后强子和电磁强子的衰变。
我们的贝叶斯推断设置总共有15个输入参数:10个用于η/s(T)和ζ/s(T),1个用于化学解耦温度,2个用于动态冻结条件,以及2个用于初态计算。使用完整的逐事件2+1维流体力学模拟来探索如此高维的参数空间在计算上非常昂贵。即使利用高斯过程等统计模型仿真器,仍然需要对大约1000种不同的参数组合运行完整的逐事件模拟,并且对于每一种组合,都需要生成可观测量所需的逐事件统计量。然而,通过在这些大约1000个参数点上训练的神经网络,我们可以轻松地生成足够多的事件,从而使得在分析中纳入那些对统计量要求更高的流可观测量(例如本文中的傅里叶系数v4和归一化对称累积量NSC(4,2))成为可能。
本文的结构如下:在第二节中,我们描述了EbyE-EKRT加粘滞流体力学模型;在第三节中,我们描述了用于预测模型输出的神经网络框架;在第四节中,我们详细介绍了统计分析流程;在第五节中,我们展示了分析结果;第六节是对我们研究发现的总结。
II. 模型描述
本研究所使用的具有动态冻结的EbyE-EKRT加粘滞流体力学模型已在文献[27]中详细描述。在此,我们总结与本研究相关的主要特征和参数。
A. EbyE-EKRT初态
QCD物质的初始能量密度分布来自EbyE-EKRT小喷注饱和模型[13],该模型是由参考文献[9–12]发展而来。该模型基于共线因子化的次领头阶(NLO)微扰QCD计算,计算的是小喷注的横能量(ET),这些小喷注的横动量(pT)高于截止尺度p0,并在快度区间∆y = 1的中心快度区域内产生[11, 13, 57–59]。小喷注过程的饱和现象,源于在高部分子密度下变得主导的QCD非线性效应[9, 60],被认为会抑制向较低pT值方向的初级部分子产生。对于碰撞参数为b的AA碰撞中的ET横向密度,饱和极限通过局域饱和条件得到[11]。






B. 2+1 维粘滞流体力学






III. 使用神经网络预测流体力学模拟输出
一些可观测量,例如高阶流谐波 v3,v4,...及其关联,需要大量事件来约束统计误差,这使得它们在计算上非常昂贵。我们使用神经网络来快速估算任意给定能量密度分布和参数组合下的单事件模型输出。性能提升非常显著:在大约一个CPU小时内我们可以运行大约两次完整的模拟,而使用神经网络在GPU(NVIDIA V100)上每秒可以生成大约100个事件。




在训练过程中,我们针对每个被研究的碰撞系统,在每个训练点上运行40个事件的完整模拟。其中36个事件用于训练,剩余4个用于验证。
训练点通过以下迭代过程进行采样:首先,我们使用拉丁超立方体采样从整个输入参数空间中均匀采样950个点,并对神经网络进行初始训练。训练使用Adam优化器[77]进行120个周期。在每个周期之后,网络性能在验证集上进行测试,如果网络表现优于之前的最佳网络,则将其保存。对于多重数,使用对数均方根(RMS)误差损失函数,而对于其他可观测量,则使用标准均方根误差。在训练过程中,通过应用随机旋转、翻转和平移来增强训练数据。
接下来,我们按照下一节描述的方法进行全局分析。在此初始分析之后,我们从获得的后验分布中额外采样100个训练点,并将它们添加到训练集中。然后,我们使用这个增强后的训练集,通过额外训练20个周期来重复上述过程(重新训练神经网络),以便在参数空间中更相关的区域获得更准确的估计。
神经网络仅用于增加单个参数点的事件统计量,而整个参数空间中的插值则由高斯过程仿真器处理,这将在下一节中描述。对于每组(950 + 100)参数集,我们利用训练好的神经网络为每个碰撞系统生成

个事件。
为了验证神经网络对于事件平均可观测量的性能,我们从第二个训练集中选取了10个参数点,并在每个点上对5.02 TeV Pb+Pb碰撞进行了5,000次流体力学模拟。与神经网络预测的比较如图1所示。其精度非常好,平均偏差约为可观测量值的1%。当用于高斯过程训练的数据在参数空间中分布稀疏时,该误差相对于参数空间插值带来的误差是次要的(见附录A)。

遗憾的是,5,000个碰撞事件不足以对归一化对称累积量进行同样的测试。因此,为了验证神经网络在这种情况下的性能,我们选择了似然函数值最高的训练参数点,并运行了50,000次流体力学模拟。针对NSC(4,2)、NSC(3,2)和NSC(4,3)的测试结果如图2所示。在10-70%中心度范围内,神经网络对于NSC(4,2)的精度在1-10%的量级。在最中心的碰撞系统以及对于其他归一化对称累积量,相对误差可能会稍大一些,但这些数据并未包含在分析中。

用于神经网络训练和事件生成的代码包可在文献[78]中获得。

IV. 统计分析

在先验概率分布为均匀分布的情况下,确定后验概率就等同于确定似然函数。
A. 输入参数
我们的 EbyE-EKRT + (2+1) 维粘滞流体力学动态冻结模型总共有 15 个可调参数,这些参数已在第二节中介绍。为了将采样集中在输入参数空间中物理上最有意义的区域,我们在构建均匀先验时进行以下替换:

我们贝叶斯推断研究中的最终15个拟合参数总结在表II中,同时列出了它们各自的先验范围。此外,为了进行模型仿真和马尔可夫链蒙特卡洛计算,这些先验范围已被缩放至单位超立方体内。



我们在表 III 中列出了所包含实验数据的详细列表。

C. 主成分分析
可观测量空间的维数可以通过主成分分析显著降低,其目标是找到具有最大方差(即对输入变化最敏感)的可观测量的线性组合。为了使方差比较有意义,可观测量被中心化(使其均值为0),并用其样本标准差进行缩放,以使其无量纲化并在方差方面具有相似的尺度。






还必须记得对模型数据进行缩放和中心化的逆操作,这些操作是在为主成分分析做准备时进行的。
我们利用 scikit-learn [79] Python 库来进行主成分分析和高斯过程回归。关于仿真器质量检查的总结见附录 A。
E. 似然函数
对于每个碰撞能量,似然函数定义如下:


我们使用马尔可夫链蒙特卡洛代码 EMCEE [93] 从似然函数中抽取样本。我们运行一个由300个行走者组成的集合,共40000步,并丢弃前30000步,以确保结果中使用的所有样本都是在MCMC收敛到目标分布之后抽取的。
V. 结果
A. 后验分布
我们在表 IV 中给出了后验概率分布的概要统计量,即每个参数边缘分布的中位数和90%置信区间。


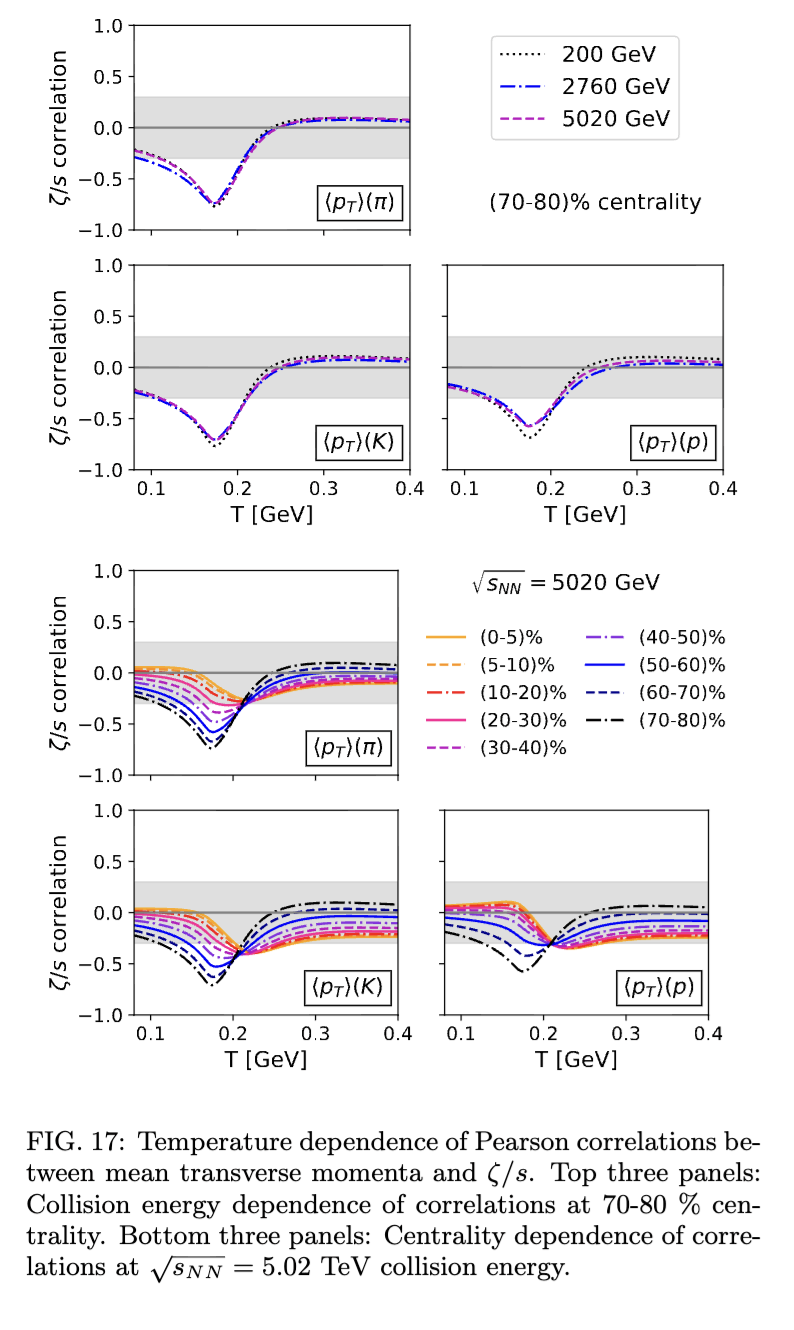
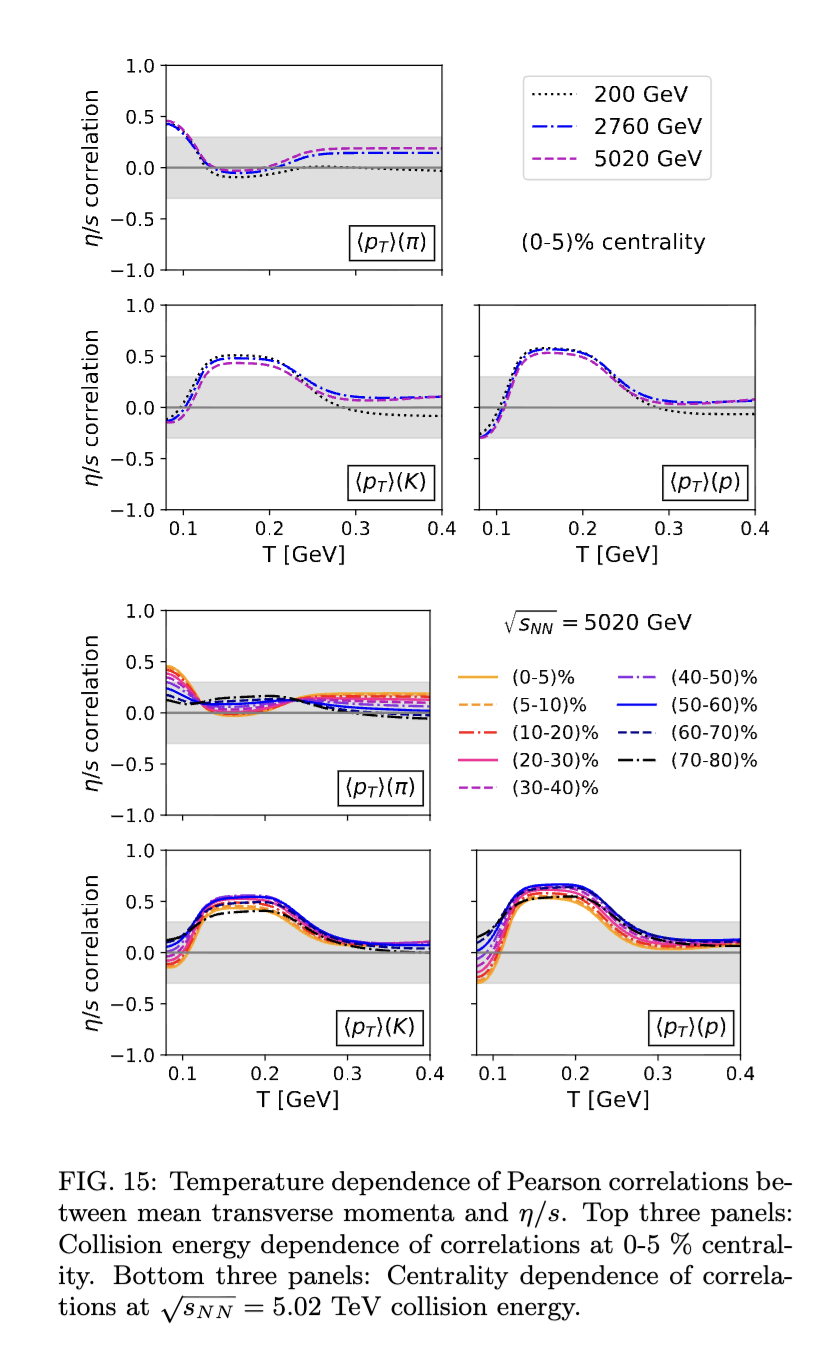
对于输运系数,我们不是单独研究每个参数,而是通过基于后验分布样本绘制 η/s和 ζ/s的实际温度依赖性来说明它们的综合效应。即使单个参数本身并非受到非常强的约束,它们之间也不是相互独立的,其净效应是,特别是剪切粘度本身受到的约束实际上比单个参数的约束所显示的要严格得多。我们还注意到,QCD物质输运性质的最终约束对于所假设的理论误差的变化非常稳健,这是一个令人鼓舞的结果。最显著的差异体现在体粘度上:当采用最小的10%误差时,存在明确的下限,但随着理论误差增大,该下限减弱。体粘度的上限则对此不那么敏感。另一方面,剪切粘度的限制实际上与所假设的误差无关。






接下来,对于所研究的三种情景中的每一种,我们从后验分布中抽取5000个参数组合,并将这些点上仿真器预测的分布与数据进行比较。
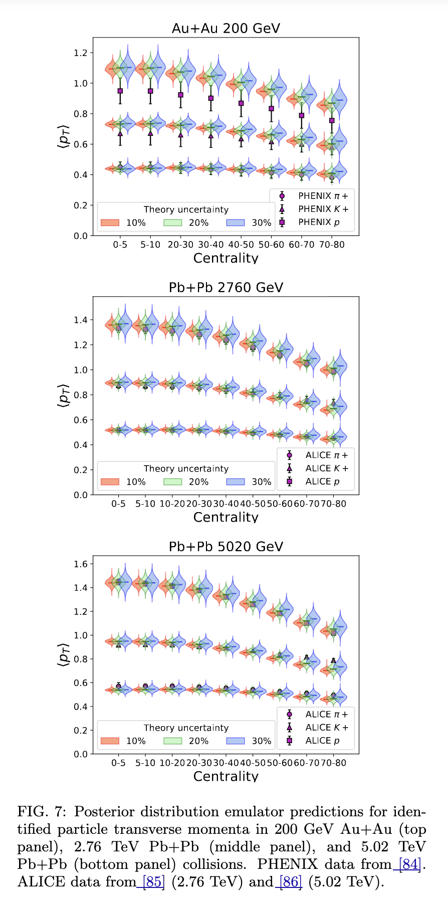
所研究碰撞系统的带电粒子多重数的中心度依赖性如图5所示,同时还包括5.44 TeV Xe+Xe碰撞中的平均横动量。从200 GeV Au+Au碰撞到5.44 TeV Xe+Xe碰撞的整个碰撞能量范围内,与多重数数据的吻合程度非常令人满意,较大的理论不确定性仅仅增加了预测的分散程度,而预测中位数与数据之间的距离仍非常相似。然而,特别是在Xe+Xe碰撞的情况下,我们看到中心度依赖性略显过陡;多重数在向周边碰撞方向下降得略微过强。这种过强的中心度依赖性也适用于带电粒子的平均横动量;此外,在这里,不确定性往往随着 ⟨pT⟩值的升高而增加,因此理论不确定性的增加也提高了 ⟨pT⟩ch预测的中位数值。





为了完成数据比较,我们在图9中展示了归一化对称累积量 NSC(4,2)的仿真器预测。在10-20% 中心度等级中,我们获得了对数据的良好描述,但向更周边碰撞方向上升的趋势相对于测量值而言过弱。

C. 关联性
1. 参数与可观测量之间的关联性
在研究后验分布时,参数-参数对以及参数-可观测量对之间的关联性可以作为有用的指导。
参数之间的强关联可能表明参数化存在冗余(多种组合产生相同的效果),或者数据给出了特别强的约束,从而限制了后验参数空间并“迫使”产生关联性。参数与可观测量之间的关联性则为寻找这些数据约束的来源提供了进一步的指导。
在表V中,我们列出了后验分布内参数之间显著的皮尔逊相关系数。










2. 可观测量与不同温度下粘滞系数之间的相关性
虽然可观测量与剪切粘度系数极值相关的一些参数之间存在显著的关联性,但我们注意到,许多控制 η/s和 ζ/s温度依赖性的参数与可观测量没有系统的相关性。接下来,我们研究可观测量是否在任何特定温度区域内与 η/s和 ζ/s相关。此外,选定温度下的表格化关联数据可在附录D中找到。






VI. 总结与结论
我们引入了一个新颖的基于神经网络的增强框架,用于进行贝叶斯全局分析,以从高能重离子碰撞数据中确定QCD物质性质。该框架的主要特点是用神经网络替代计算量巨大的流体力学模拟,这些神经网络能够直接从初始能量密度分布逐事件地预测实验可观测量。与我们早期工作[52]相比,这些网络的新特性在于它们现在也将物质性质作为输入,因此不再需要为每种粘度参数化和动态冻结条件分别训练网络。这使得它们非常适合全局分析。然后,将神经网络生成的模拟数据用于训练高斯过程仿真器,后者再用于评估贝叶斯分析中的似然值。即使训练网络仍然需要相当数量的完整流体力学模拟,但模拟事件的数量(此处为40个事件 × 4个碰撞系统 × 1050个参数集 = 总共

个事件)比直接为训练高斯过程仿真器而计算模拟所需的数量

1个事件)要少几个数量级。


在模型和分析方面仍存在一些改进空间。为了与数据更好地吻合,可能还需要进一步引入核形变效应,并将初态模型更新为包含“热点”的 MC-EKRT 模型 [14, 15]。为了在未来的分析中获得更进一步的约束,我们目标是纳入更多对统计量要求更高的可观测量,例如 NSC(4,3)或混合谐波累积量。因此,我们可能需要进一步改进神经网络的架构和训练数据的质量,例如利用主动学习方法 [95]。
原文链接:https://arxiv.org/pdf/2603.26413