论文标题:MLOW: Interpretable Low-Rank Frequency Magnitude Decomposition of Multiple Effects for Time Series Forecasting
作者:Runze Yang(杨润泽), Longbing Cao(操龙兵), Xiaoming Wu(伍晓鸣), Xin You(游鑫), Kun Fang(方堃), Jianxun Li(李建勋), Jie Yang(杨杰)
机构:麦考瑞大学(Macquarie),上海交通大学,南洋理工大学(NTU),香港理工大学(PolyU)
论文链接:https://arxiv.org/abs/2603.18432
代码链接:https://github.com/runze1223/MLOW
关键词:时序预测,低秩分解,时频分解,可解释性

量子位:别再用黑盒预测了!即插即用模块通过前置分解让iTransformer/PatchTST既准又可解释
时序人:MLOW:一个可解释的时间序列分解方法,即插即用性能远超滑动平均分解
随着深度时间序列模型的快速发展,研究主要集中在网络结构的不断优化与改进,而缺少从数学基础出发、探索能够让深度学习模型真正“看得见” 的可解释的前置分解方法的研究。该工作提出了一种面向时间序列的可解释性分解方法,代表了一种区别于传统分解范式的全新研究方向。该方法可作为前置模块无缝插入任意时间序列模型,仅需极小的结构改动即可使用。在几乎不改变原有模型结构的前提下,该方法能够显著提升各类时序预测模型的性能。
针对上述问题,本文提出了一种全新的方法——MLOW(Multi-effect Low-rank Frequency Magnitude Decomposition)。
该方法基于一个关键发现:时间序列可以表示为频域幅度谱与带相位信息的周期基函数的组合。进一步观察发现,不同数据集的幅度谱呈现出显著且可观测的分布模式。基于此,本文通过学习频域幅度的低秩表示,对数据中的主要周期性成分与趋势性成分进行解耦与分解,从而实现更容易让深度时间序列模型理解的建模。
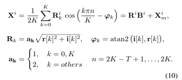
MLOW整体数学形式: 设 表示输入时间序列,其中 表示其幅度(amplitude), 表示从频率层级 1 到 的相位感知基函数(phase-aware bases)。 表示频率层级 0 的均值截距(mean intercept)。 表示低秩分量(low-rank components),其对应的新系数为 ,重构后的基函数表示为 。

Hyperplane-NMF:本文的方法使用与标准NMF分解相同的约束条件,但额外约束系数矩阵,一种超平面投影(hyperplane projection),类似于 PCA,将两者方法结合提供更加具有可解释性的结果。

该方法的第一个优势在于,它对于测试数据集更快,而无需像标准 NMF 那样重新对进行优化。第二个优势在于,虽然其梯度形式与标准 NMF 并没有改变,但由于引入了新的约束,其梯度更新方向完全顺从目标函数本身,而不是在每次迭代中朝向一个预先计算的。第三,该方法中的可解释性优于传统 NMF,因为它可以通过超平面投影进行可视化,而不是依赖于不可解释的拟合数值。这有助于更清晰地理解 W的来源。

宽松的超参选择(时域频域不再绑定): 不同于传统频域分解,有效的频域维度受到输入时域维度影响,通过引入额外过去信息扩展频域维度,截取最新的相位基函数来保留想要的时域维度,让频域时域维度都可自由选择:

MLOW可以清晰的可视化为什么时间序列被分解成这样个低维表示,可以显示Hyperplane-NMF算法学习到的低维低秩分量(low-rank components),并且可视化新的能量,和重构后的基函数。

每个数据集的低秩分量可以有效的反应时间序列主要周期性成分与趋势性成分解耦来自于哪些频域。

MLOW分解可视化展示:可以有效的解耦分解主要周期性成分与趋势性成,对噪音鲁棒。

在多个真实数据集(电力、交通、气象等)上,MLOW显著优于传统分解方法及多种先进深度学习模型,表现出更强的鲁棒性和稳定性。可在几乎不改变模型的情况下可显著增强经典时序模型如iTransformer 和 PatchTST,远远领先现有方法。


MLOW为时间序列预测提供了一种全新的思路,将模型从“黑盒预测”转向“可解释建模”,具有重要的理论意义与实际价值。