Integrable Free and Interacting Fermions
可积的自由和相互作用费米子


摘要
介绍了一维量子系统作为自由费米子和相互作用费米子时,其局域哈密顿量(local Hamiltonians)的可积性条件。自由费米子的定义是指R矩阵同时满足杨-巴克斯特方程(Yang-Baxter equation)和Shastry的修饰星-三角关系(decorated star-triangle relation),这比Maassarani提出的先前的“自由费米子代数”(free-fermion algebra)更为普遍,且比在精确可解量子模型或与量子自旋链对偶的可积经典二维顶点模型语境下的自由费米子更为特殊。自由费米子RR矩阵呈差形式(difference form)并具有共轭对称性。这些自由哈密顿量有时可通过共轭算符进行形变,以描述具有非相对论性R矩阵的可积相互作用系统,Hubbard模型和纵向场中的XY模型即属此类情况。此外,还获得了一个关于此类形变究竟在何时仍保持可积性的进一步判据。提出了一种从局域哈密顿量迭代求解自由费米子R矩阵的实用程序,若满足条件,该程序可用于构建非相对论性R矩阵。
1 引言
精确可解模型与可积系统是两个常被混淆的术语,即使在该领域的专家中也常被互换误用。前者的正统定义是:本征态(或至少是基态)可从哈密顿量中解析地对角化;而可积哈密顿量则必须通过数值求解超越贝特方程来对角化。从这个意义上说,可以公允地说大多数可积系统并非精确可解,反之亦然。然而,这两个概念确实在一类特殊的可积模型上相交,这类模型同时也是“自由费米子型”的。该模型子集为一些关于可积性的广泛流传的说法(如“次近邻(NNN)跃迁会破坏可积性”)提供了反例。显然,这对自由费米子来说不成问题,因为即使在更高维空间中它们也能被精确求解。在附录 A 中,我通过贝特拟设精确求解了此类自由费米子模型中最简单的例子之一,旨在阐明自由费米子模型完全可以利用可积性方法来处理。
“自由费米子”的定义本身也是模糊的。在量子系统的语境下,现代定义是能谱可写为 E = ±ε₁ ± ε₂ ··· ± εₙ 的形式 [1, 2]。传统上,可通过联合使用 Jordan-Wigner (JW) 变换、傅里叶变换与 Bogoliubov 变换来对其对角化。但在完成对角化之前,仅凭一维(1D)局域哈密顿量很难判断其是否描述自由费米子。相比之下,尽管可积性由满足杨-巴克斯特方程(YBE)的 R 矩阵或拥有无穷多个守恒荷来定义 [3],但 Reshetikhin 针对局域哈密顿量提出了一个条件 [4],可方便地检验可积性,而无需诉诸试错法。¹ 更复杂的是,上述自由费米子的定义与其在二维(2D)统计力学模型中的用法并不一致,已知这些模型与一维可积量子系统存在一一对应关系。在那里,至少对于八顶点模型而言,存在自由费米子的简单条件,即玻尔兹曼权重满足 a² + b² = c² + d²。显然,这包括了例如六顶点情形,众所周知该情形可映射到 XXZ 链,而 XXZ 链只能通过严格的贝特拟设对角化,即并非自由费米子型。同样地,也存在违反自由费米子条件的顶点模型,但其量子对应物却具有自由费米子型的能谱。
幸运的是,基于 Kennedy 开创性思想 [5] 的最新进展,使得从可积量子哈密顿量自举(bootstrap)二维统计力学模型的 R 矩阵成为可能 [6]。该方案利用了 R 矩阵按谱参数作泰勒展开时 YBE 中所包含的无穷多代数约束,因此仅适用于作为单一谱参数函数的相对论性 R 矩阵。以将此方法推广至一般 R 矩阵为目标,我所采用的“自由费米子可积性”定义是:R 矩阵同时满足 YBE 与 Shastry 的装饰杨-巴克斯特方程(DYBE)[7]。Shastry 发现其 DYBE 是他构造一维 Hubbard 模型 R 矩阵的基本模块 [8],该方程规定了一个可积双层顶点模型的玻尔兹曼权重。结果表明,DYBE 带来的额外约束显著简化了自举过程,使得 R 矩阵展开中的高阶系数可用低阶系数表示为闭式表达式。因此,自由费米子可积哈密顿量的 R 矩阵无需使用 Kennedy 的迹技巧即可迭代求解,且自由费米子条件也可方便地通过局域哈密顿量进行检验。
DYBE 的额外限制等价于 R 矩阵的一种共轭对称性 [9, 10]。正是该共轭算符作为相互作用项进入了 Hubbard 模型的哈密顿量,构成了从自由费米子可积模型出发的可积形变。一个常见的误解(甚至在可积性研究群体内部也是如此)是:Hubbard 模型因其具有双谱参数的 R 矩阵而独树一帜。这并不正确,另一个例子是纵向场中的 XY 自旋 1/2 链(或称 XYh 模型),其 R 矩阵已在文献 [9] 中找到。该“俱乐部”中的另一模型是 Maassarani 的 SU(n) Hubbard 模型 [10, 11]。所有这些模型均可视为通过其共轭算符对自由费米子模型进行可积形变的结果,这似乎是已知唯一能从相对论性 R 矩阵生成非相对论性 R 矩阵的范式。因此,合理推测一个适用于双变量 R 矩阵可积性的普遍条件是可行的,我们在详细研究了两个此类可积构造和一个不可积构造之后得出了该条件。
结合相对论可积性的 Reshetikhin 条件,新准则构成了量子可积性的一个必要条件。给定一个一般的一维局域哈密顿量,可先用 Reshetikhin 条件检验其可积性。若检验失败,该哈密顿量可被分离为双局域算符与作用于单个格点的算符之和。若哈密顿量在违反 Reshetikhin 条件的情况下仍然可积,则其双局域部分应当是可积自由费米子的哈密顿量,对此我们现在已有专门的检验方法。若双局域哈密顿量满足自由费米子可积性条件,则第三项检验将判定总哈密顿量是否描述了与非相对论性 R 矩阵相关的可积相互作用费米子。
本文其余部分安排如下。第 2 节首先介绍 DYBE 与共轭对称性,由此导出自由费米子可积性条件。随后利用该条件迭代求解可积哈密顿量的 R 矩阵,该方法也可用于直接检验。本节最后给出小局域自由度示例的 R 矩阵,供后续章节使用。第 3 节仔细回顾了 Shastry 构造 Hubbard R 矩阵的过程,并提供了允许更广泛应用的新见解。该节的另一进展是:作为 Shastry R 矩阵的推论,给出了 Hubbard 模型非厄米可积形变的显式闭式表达式。第 4 节对 XYh 模型再次重复了这一过程,其中 R 矩阵中的三角函数被推广为雅可比椭圆函数。第 5 节补充了第三个不成功的尝试,以与两个成功案例形成对照,因为人们可能天真地认为 Hubbard 模型也可通过耦合两条 XY 费米子链来进行形变。然而这并不奏效,通过观察问题出在何处,我们提取出了非相对论模型的可积性条件。最后,第 6 节总结全文,指出当前形式体系缺乏直观解释,并提出了若干可能的未来研究方向。
2 自由费米子的 R 矩阵
2.1 杨-巴克斯特方程与共轭
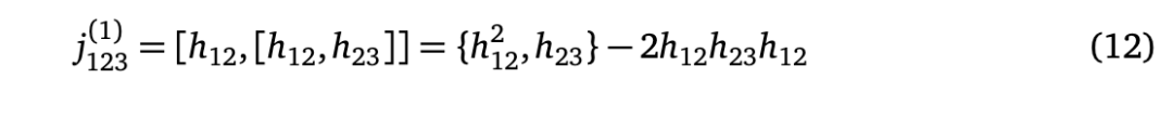
Shastry 在研究 Hubbard 模型的可积性过程中发现,像 XY 链这样的自由费米子可积模型的 R 矩阵,除了满足 YBE 之外,还满足另一个约束条件,他将其称为装饰星三角关系 [7]。后来,它也被称为 DYBE,并已知其与 YBE 等价:

因此,(1) 和 (4) 可被视为两个独立的约束条件。由于我们的目标是在未知

的情况下获得局域哈密顿量的可积性条件,我们将使用 (1) 和 (4) 进行推导。正如 YBE 具有如图 1(a) 所示的图形表示法一样,DYBE 同样可用图 1(b) 进行图示化表示。

2.2 R 矩阵的迭代求解 R 矩阵可按谱参数展开为级数:






2.3 哈密顿量的可积性检验
为了将(9)和(10)用作自由费米子可积性检验,一个虚构的流算符





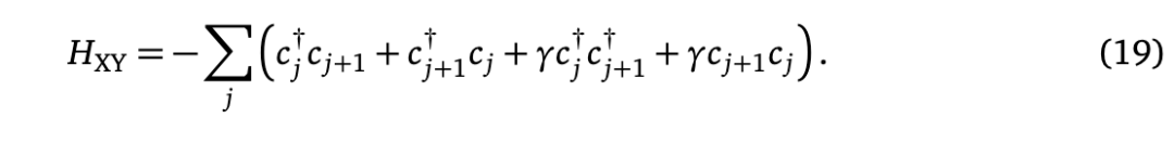
一个不受 (14) 描述的非平凡可积自由费米子例子是 XY 模型,其局域哈密顿量为






这可以用来构造 XYh 哈密顿量的 R矩阵 [9],并且将是下一节回顾的 Shastry 对哈伯德模型 RR矩阵求解的出发点。




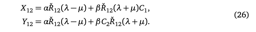
将 ansatz (29) 代入 YBE




尽管上述推导与 Shastry 的原始解在很大程度上重叠,但通过直接处理 YBE,它并不依赖于他对 L 算符的巧妙猜测。其优势有两点:首先,这种万无一失的方法使得为其他可积相互作用费米子模型构造 R 矩阵更具前景,这将是下一节的主题。其次,这种确定性方法结合拟设 (29) 的一般性,体现了 Hubbard 模型 R 矩阵的唯一性,直至文献 [17] 第 12.2.5 节中详述的规范和(广义)扭转变换。
3.3 四面体 Zamolodchikov 代数
还应注意,(30) 式在 ν=0 时的解(等价于 RLL 关系)通常在一般情况下并不能自动保证满足 YBE。但采用所谓的四面体 Zamolodchikov 代数 (TZA) [18],已经证明带有 (39) 式的解 (29) 满足 (30) 式 [9]。


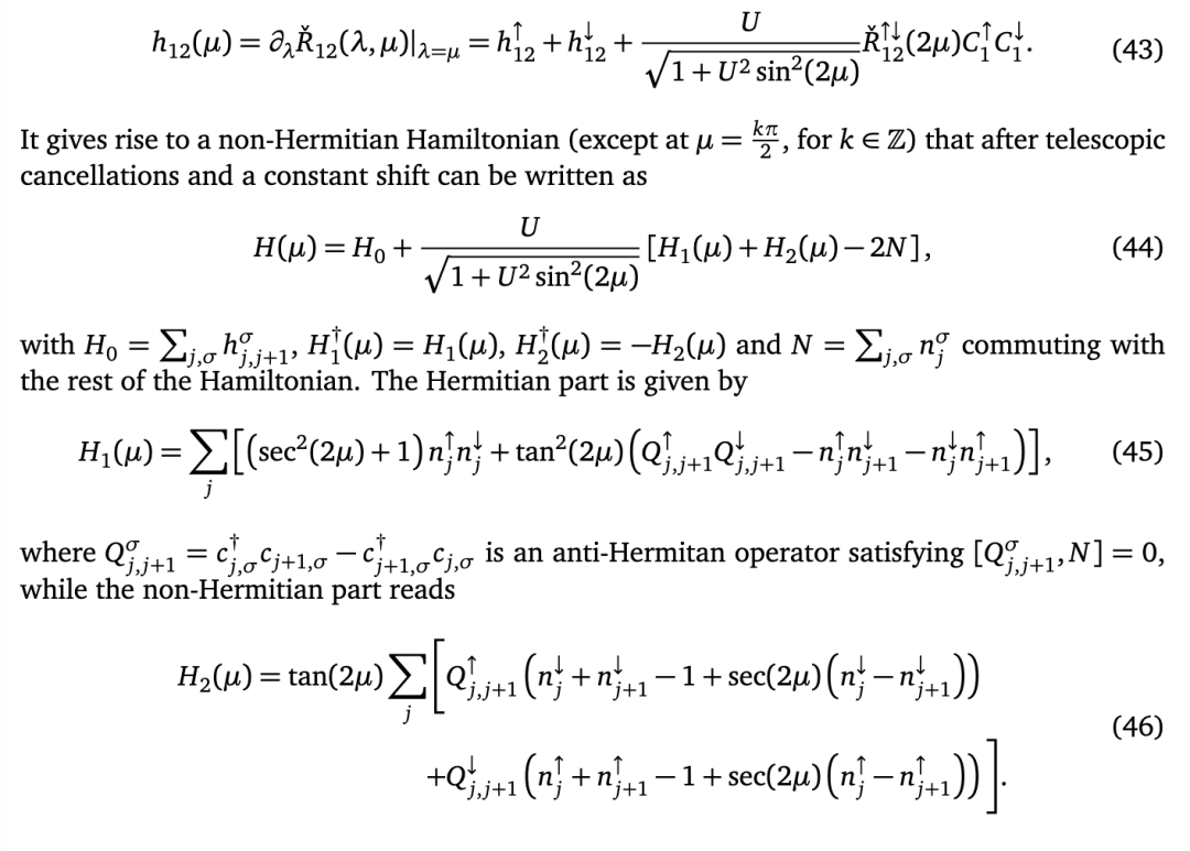
3.4 Hubbard 哈密顿量的非厄米形变
若对 R 矩阵 (29) 求导,所得结果是一类可积哈密顿量,由其中一个谱参数参数化:

4 外场中 XY 费米子的 R 矩阵
历史上,Hubbard 模型是首个被构造出非相对论性 R 矩阵的可积相互作用费米子模型,考虑到其在凝聚态物理中的核心重要性,这确实是理所当然的。但它并非具有此类 R 矩阵的最简单模型。事实上,这项工作本也可以针对具有化学势的无自旋自由费米子,或等价地针对纵向磁场中的 XX 模型来完成。与其重复上一节中更为简单的推导,我将处理一个更一般的情形,即在 x 和 y 方向具有各向异性耦合的情形,该情形已在文献 [9] 中被研究过。




5 由耦合 XY 链导出的超导 Hubbard 模型
在见证了最后两节的成功之后,很自然地会期望 Hubbard 模型在保持可积性的同时,可以通过超导对产生和湮灭项进行形变。朴素构造最终被证明不可积,这不应太令人惊讶,因为 DYBE(动力学杨-巴克斯特方程)和共轭对称性的存在仅仅是具有非相对论 R 矩阵的可积性的必要条件。尽管如此,由于检查该方案在何处失败有助于识别进一步的可积性必要条件,我仍将执行构造该形变 R 矩阵的详细过程。
超导 Hubbard 模型由哈密顿量定义


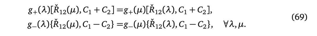
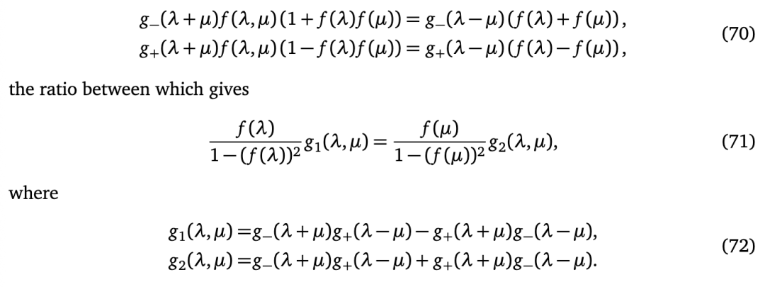
这些方程对于 λ,μ 的所有值不能同时被满足。原因是 (65) 涉及四个独立的算符,为了使无论谱参数取何值其左边和右边都恒等,每一个算符的系数必须消失(为零)。与前两节中的例子相比,人们可以推测出一个进一步的可积性条件由下式给出:



上述出现的 R 矩阵属于自由费米子,要么是单个副本,如 XYh 模型的情况;要么是多个可积自由费米子的 R 矩阵的乘积,即 Hubbard 模型的情况。而共轭算符也相应地选取。这些附加条件还不够充分。假设它们得到满足,那么正如之前多次展示的那样,相互作用 R 矩阵的 YBE(杨-巴克斯特方程)意味着关于叠加系数的方程:


尽管最终条件的表述略显复杂,但一旦已知自由费米子 R 矩阵和共轭算符(它们是 (68) 和 (69) 仅有的输入),将其作为发现新可积相互作用模型的可积性测试来应用仍然异常简单。如果它们被证明得到满足,为了求解进入相互作用 R 矩阵的叠加系数,人们也不需要经历推导出它们之前的那些步骤。结合该条件以及寻找自由费米子 R 矩阵的迭代程序,它们为寻找一维可积量子模型的二维统计力学对偶提供了一个自洽的框架。
6 结论
在本文中,我肯定地解决了最近提出的从可积局域哈密顿量求解 R 矩阵的自举方案 [6] 中的一些遗留问题,即它如何推广到非相对论可积模型及其 R 矩阵的唯一性问题。具有讽刺意味的是,理解具有两个谱参数的更复杂 R 矩阵(即所谓非基本可积模型)的关键,在于研究简单得多的自由费米子 R 矩阵的特殊性质。后者除了满足 YBE 外,还满足 Shastry 的 DYBE,这对它们的 R 矩阵的级数展开施加了强约束,使得它们可以从其局域哈密顿量迭代求解。DYBE 等价于一种共轭对称性,该对称性以 RLL 关系中 R 矩阵的另一解的形式出现。因此,这两个唯一解的线性叠加普遍地描述了 YBE 的所有潜在解,并且自动依赖于两个谱参数。只要自由费米子 R 矩阵和共轭算符满足另一个可积性条件,该叠加系数就可以通过由共轭算符从自由费米子哈密顿量形变而来的相互作用哈密顿量唯一确定。
尽管此处发展的框架似乎很完整,但对其理解仍局限于实用层面,缺乏对背后物理机制的直观解释。这意味着自由费米子和相互作用费米子的术语可能并不理想,尤其是它既不符合统计力学中的用法,也不符合在精确可解量子链语境下的用法。但新的发展确实为一些早期假设提供了启示。特别是,Hubbard R 矩阵的非相对论性曾被解释为存在自旋和电荷自由度可以以不同速度传播的结果。鉴于 XYh 模型具有相似的 R 矩阵,拥有两个自由费米子副本似乎并不相关。也许更好的解释是,对角共轭算符通过背散射耦合了自由传播费米子的左行和右行模,从而打开了一个能隙。² 在第 2 节中,共轭在图形上与时间反演对称性相关联,该对称性将粒子与反粒子互换,仿佛 R 矩阵是散射 S 矩阵,而谱参数是快度。这可能是正确的方向,但需要充分发展。
获得更多见解的一个可靠途径是尝试进一步推广该框架,以包含尚未被发现的可积模型。例如,可能存在可积的自由 para 费米子 [20],它们可以被形变为可积的相互作用 para 费米子。另一个值得探索的方向是向 Maassarani 的 SU(n) Hubbard 模型 [10, 11] 引入各向异性或超导形变,这可能会导致部分可积性 [21]。人们也可以考虑该框架中所研究模型的可能玻色子版本。例如,最近已证明单向跳跃 Bose-Hubbard 模型 [22] 是可积的,其非厄米哈密顿量可被视为耗散 Lindblad 系统的有效哈密顿量 [23]。从其 R 矩阵获得的 Hubbard 模型 (44) 的可积形变的非厄米效应尚未被研究,甚至可能未被注意到。文献 [23, 24] 中使用的跳跃算符似乎并未将 (46) 化为有效哈密顿量的形式。因此,这提出了一个问题:可积非厄米哈密顿量是否总能被描述为开放量子系统的有效哈密顿量?如果不能,哪些类型可以?
最后但同样重要的是,文献 [6] 中指出的仍有一些未决问题,当局限于自由费米子可积性的特殊情况时,这些问题可能变得更容易处理。最明显的一个是:自由费米子可积性条件对于 YBE 和 DYBE 是否充分。
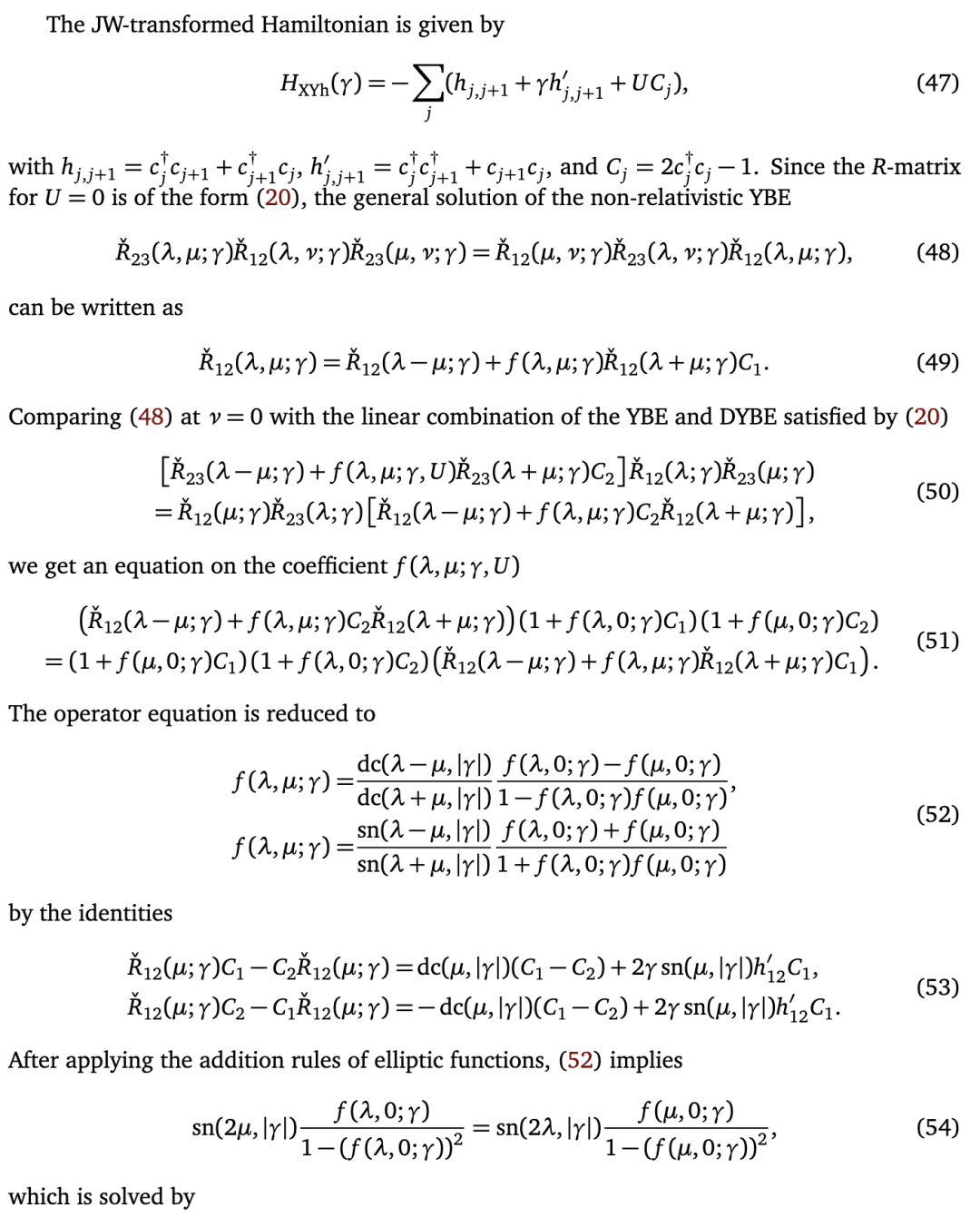
原文链接:https://arxiv.org/pdf/2603.11172